Intg 1 X DX Using Simsons 1 3 Rule 的热门建议 |
- A G EMI
X 3 1 0 - Video of Using Simson
Mending Plates - Numerical Integration Simpson S
Rule - The Term Unblowupable
Simpsons - Simpson 1 3 Rule
Area - End Area in Simpsons
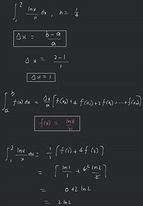
1/3rd Rule - Trapezoidal Midpoint
Simpsons Formula - Simpsons Mathematical
Theorem - Simpson Framework
of Nutrition - How to Do Simpsons Rule On Demos
- 3 C 1 and 3
C 7 Exemptions - One-Third RU
Le Artwork - 1 2 3
SP - Sum of All Three
Sinful - Multiple Trapezoid
Integration - Formula De Integracion
De Newton Cotes - Numerical Inetegration
On a Data Set - One Third of a Number
W Is 16
观看更多视频
更多类似内容
